Data Converters
Following the sensors and their associated signal-conditioning circuits, data converters are essential for transforming analog information into digital form, enabling subsequent processing and communication within electronic systems. Conversely, digital-to-analog converters (DACs) translate digital control signals into analog quantities to drive transducers and actuators, allowing electronic systems to interact with their environment. Our research focuses on developing high-resolution, low-power architectures and design methodologies for both ADCs and DACs, supporting precise signal representation, and seamless integration of sensing, processing, and control within mixed-signal systems.
ADC
Contact person: Traian ANTONOVICI, Alex CĂLINESCU
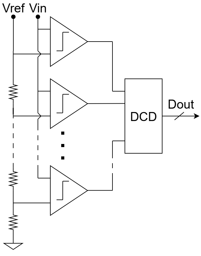
Overview: Analog-to-digital converters (ADCs) play a central role in transforming physical signals into precise digital representations, serving as a key interface between the analog world and digital processing. Depending on system requirements, ADCs may operate at the Nyquist rate for high-speed applications or employ oversampling techniques to achieve higher resolution and improved noise performance in low-bandwidth systems. Typically, Nyquist-rate ADCs are employed in high-speed, lower resolution (6-10 bits) applications. In contrast, oversampled ADCs use noise-shaping and digital filtering techniques to achieve very high resolution (>16 bits). Unfortunately, their inherent signal averaging prevents a one-to-one mapping between input and output, which limits their ability to capture discrete, event-based phenomena such as single-photon or single-electron counting in SPAD sensors. Successive approximation (SAR) ADCs, typically operating at the Nyquist rate, offer a balanced compromise between speed and accuracy while being very power-efficient. Over the past decade, hybrid ADC architectures—such as noise-shaped SARs, Sigma-Delta modulators with SAR quantizers, and two-step Sigma-Delta designs—have emerged, combining multiple techniques to achieve higher speed and improved accuracy, and continue to be an active area of research. Finally, modern design approaches increasingly integrate sensing and conversion into a single structure, creating compact and efficient physical-to-digital converters. This integration enhances accuracy and energy efficiency by employing “feedback around the sensor” techniques to reduce the analog signal paths.
Published papers: –
Supporting research projects: –
Hi-Fi Audio Σ∆ DAC
Contact person: Traian ANTONOVICI, Alex CĂLINESCU
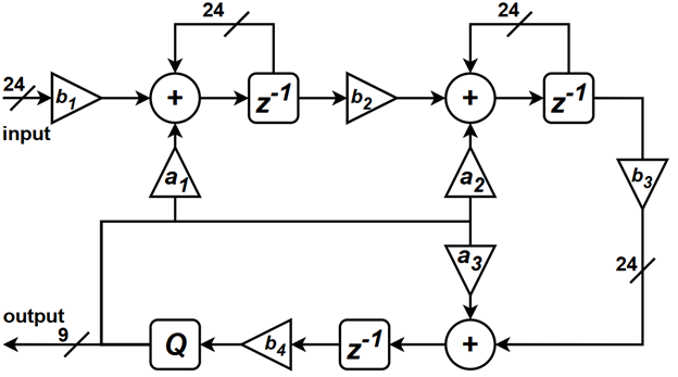
Overview: Audio applications typically require high dynamic range, above 90 dB, to keep spurious signals and harmonics low, preventing impurities from affecting sound reproduction. In audio systems, the limited signal bandwidth permits the use of Sigma-Delta modulation to increase resolution via noise shaping and digital filtering within a stable framework. The primary limitation to the resolution and spectral purity of such systems is the non-linearity of the internal DAC, which is caused by inherent component mismatches. This limitation imposes a design trade-off between the stable input range, noise shaping effectiveness, and DAC resolution. An optimal solution is to design a DAC with high linearity. This approach allows for aggressive noise shaping and wider stable input range without sacrificing performance.
The interpolation of slow audio data into a high-speed modulator domain typically demands digital filters with a high density of arithmetic operations, requiring high amounts of silicon real estate and generating a deep critical logic path. First, the input data is passed through an Interpolation Filter, which elevates the sampling frequency and filters the spectral images present at integer multipliers of the input signal’s Nyquist frequency. Hi-fi audio input files are 24-bit, which is needlessly high for accurate sound reproduction, so the input data might be truncated. Afterwards, the DSM reduces the number of bits to an even lower level, often 1-bit, but retains the required ENOB by noise-shaping the quantization error. Finally, the DAC transforms the digital data into an analog waveform and the reconstruction filter removes the shaped noise and remaining spectral images, delivering an accurate representation of the input data.
Our team provides valuable expertise in Data Conversion Systems and Signal Processing Applications.
Published papers:
- Melting Harmonics in a Σ∆ Audio DAC with Matrix Shuffling
Supporting research projects: –